학습 QNA
- 고객센터
- 학습 QNA
전기설비설계40선. 13번질문이요
글쓴이 : 강정경
등록일 : 2018.05.17
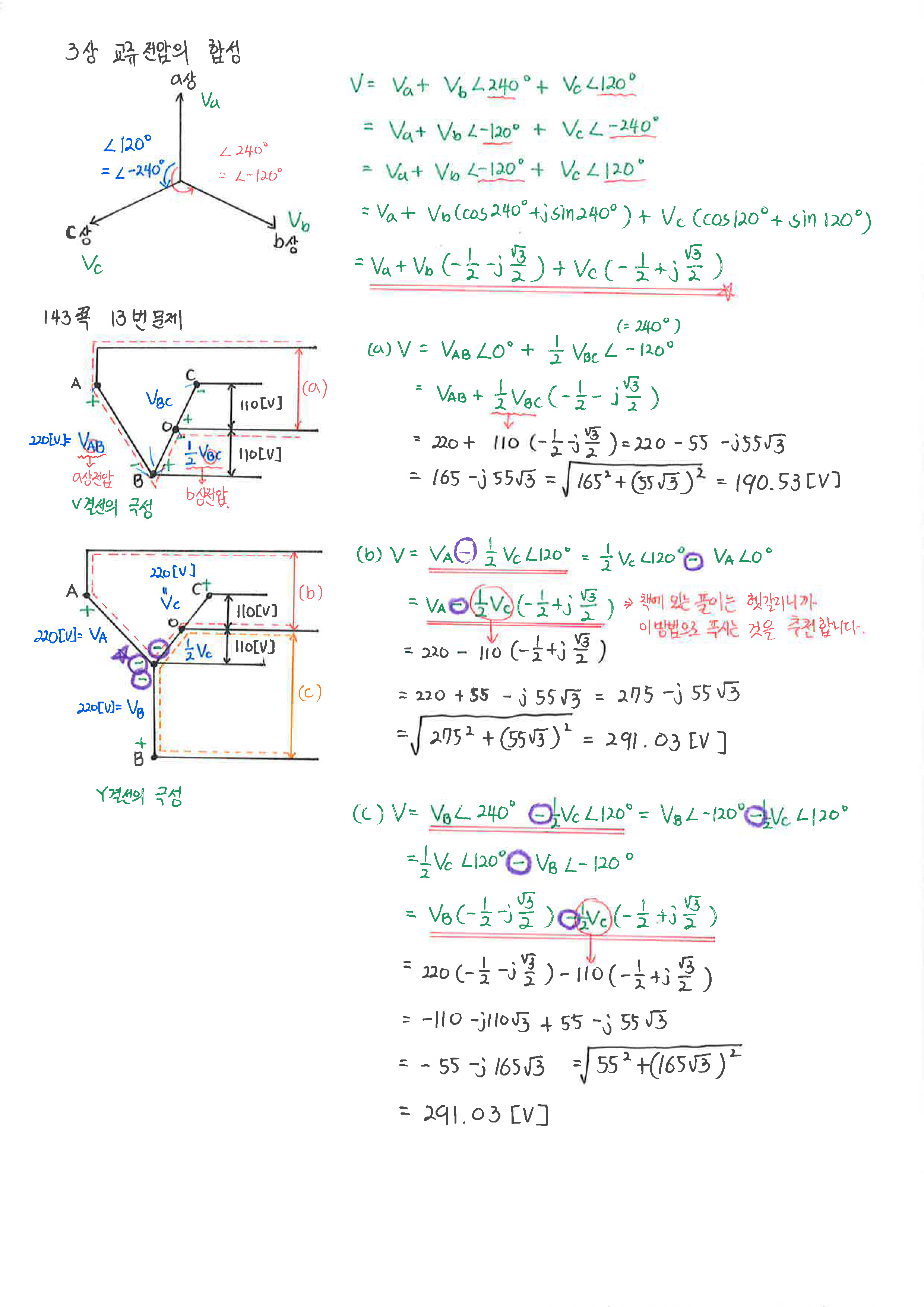
V결선에서는 왜 더하기이고 Y에서는 오ㅐ 빼기인가요??
중국이라서 전화는안될것같아요 ㅜㅜ
Answer
노민
_ 2018.05.17 18:25- 이전 글
- 다음 글
전기설비설계40선. 13번질문이요
글쓴이 : 강정경
등록일 : 2018.05.17
V결선에서는 왜 더하기이고 Y에서는 오ㅐ 빼기인가요??
중국이라서 전화는안될것같아요 ㅜㅜ
노민
_ 2018.05.17 18:25